Every digital click fuels a hidden energy demand.
Consider Bitcoin: one transaction devours electricity equal to 77 years of standard YouTube streaming.
Streaming giants exact a heavy toll too—Netflix's global audience burns through enough power in one low-quality viewing hour to run geothermal systems for centuries.
Social media uploads aren't innocent; Facebook and Instagram's daily photo deluge consumes energy sufficient to microwave half a million potatoes.
Gaming sessions accumulate fast: Apex Legends players collectively drain power weekly matching 6.5 million boiled kettles.
Even fleeting interactions matter—daily emails globally consume electricity rivaling 20 U.S. households yearly usage.
Music streaming reveals scale: Ed Sheeran’s top hit required enough energy for 171,948 laundry loads.
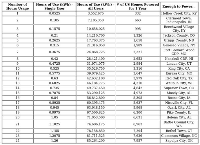
Disney+ viewers could collectively power thousands of geothermal systems annually, depending on streaming quality.
The porn industry's annual energy footprint could fully charge 78,000 electric cars.
Individual choices seem small until multiplied—cutting one hour of high-def streaming saves negligible home energy but moves mountains collectively.
Every paused video or unsent email contributes to shrinking our invisible digital carbon shadow.
It’s easy to switch off a single device, but how far would internet users have to go to free up enough electricity to match one of the world’s largest energy consumers?
China leads the planet in energy use: about 145.46 exajoules per year in total, of which roughly 125.93 EJ comes from non-renewable sources — that’s around 35 trillion kilowatt-hours.
Converted into streaming time, replacing one day’s worth of China’s non-renewable energy would require roughly 1.8 trillion hours of Netflix viewing to be avoided.
By contrast, the global Netflix audience watches an estimated 683.5 million hours each day (based on an average of 3.2 hours per user). If every Netflix viewer skipped a day, the saved energy would cover only about 0.04% of China’s daily non-renewable consumption — a vanishingly small contribution.
The picture changes a lot when you look at a much smaller consumer. Sri Lanka, for example, uses about 0.28 EJ of non-renewable energy annually. Cutting one day of Netflix globally would free up a quantity of electricity equivalent to roughly 17% of Sri Lanka’s daily non-renewable use — a meaningful slice for a small country.
Streaming quality and platform also matter. Streaming YouTube in 4K consumes roughly 0.0675 kWh per hour — about 25% more than UHD Netflix in the estimates used here. With more than a billion hours of YouTube watched every day, that represents tens of millions of kWh daily. If YouTube viewing stopped worldwide for a week, the energy conserved could supply about 0.5% of a single day’s electricity needs in China, but more than two days’ worth of Sri Lanka’s non-renewable electricity.
These comparisons show that individual choices around internet use are unlikely to move the needle on global energy demand unless taken on an enormous scale. Still, when added up across services and time, modest behavioral changes can yield non-trivial savings.
One key complication is that estimating the energy footprint of internet activity is hard and numbers vary wildly. Some past claims have been extreme — for instance, headlines saying 30 minutes of Netflix equals 1.6 kg CO2 or that an hour of Netflix uses 6.1 kWh are now questioned.
Two common approaches produce different results: “bottom-up” estimates add the power draw of individual devices and divide by transferred data, while “top-down” methods take whole-network electricity use and divide by total data volume. Both methods can be informative, but older figures often overstate current consumption because streaming infrastructure and consumer devices have become much more energy-efficient.
Research tracking electricity intensity over time suggests significant efficiency gains. One analysis put internet data transmission at about 0.06 kWh per GB in 2015 and found that the electricity intensity of fixed-line networks in developed countries roughly halved every two years since 2000. Applying that trend forward gives a conservative modern estimate of around 0.0075 kWh per GB (accounting for halving several times between 2015 and 2021).
Independent assessments align with the view that streaming has become less power-hungry. The International Energy Agency’s updated work and other studies indicate numbers far lower than some earlier sensational claims. For context, a 2019 IEA-related analysis suggested Netflix streaming used around 0.077 kWh per hour; using more recent efficiency assumptions, high-quality Netflix playback can be estimated near 0.053 kWh per hour, while low-quality streams can be an order of magnitude lower (around 0.0023 kWh per hour) in conservative calculations.
In short: turning off Netflix or YouTube for a day would make a negligible dent in the energy needs of a giant like China, but the same action can be significant for smaller countries. More importantly, continual improvements in network and device efficiency mean per-hour or per-gigabyte energy costs are falling — so systemic changes and efficiency gains at scale will likely deliver far larger benefits than individual abstentions alone.
Which online habit would you be willing to cut back on to save energy?
What is a Netflix VPN and How to Get One
A Netflix VPN is a specialized virtual private network service designed to unlock geographical content restrictions imposed by Netflix. Its primary purpose is to allow subscribers to bypass regional licensing limitations, enabling them to connect to servers in other countries and access the unique movie and TV show libraries available in those specific locations. Essentially, a Netflix VPN serves as a key to a much wider world of global streaming entertainment.
Why Choose SafeShell as Your Netflix VPN?
If you want to access region-restricted Netflix content, you should consider the SafeShell VPN, which excels at keeping your Netflix unblocked.
- It provides high-speed servers specifically optimized for seamless Netflix streaming, eliminating buffering for flawless HD playback and ensuring Netflix unblocked.
- You can connect up to five devices simultaneously, including smart TVs, phones, and computers, letting everyone enjoy Netflix unblocked on their preferred screens.
- The unique App Mode allows simultaneous access to multiple regional Netflix libraries, unlocking a vast global catalog of shows and movies.
- Experience lightning-fast speeds with unlimited bandwidth, perfect for 4K streaming and smooth downloads without throttling.
- Top-level "ShellGuard" security with advanced encryption protects your streaming sessions and data privacy completely.
- Test all features risk-free with a flexible free trial plan before committing.
A Step-by-Step Guide to Watch Netflix with SafeShell VPN
To begin using SafeShell Netflix VPN, first subscribe to the service through the SafeShell VPN portal and select a suitable plan. After completing your subscription, navigate to their website to download and install the appropriate SafeShell VPN application for your specific device, whether it's Windows, macOS, iOS, or Android. Once installed, launch the application and log into your account. For the optimal Netflix streaming experience, ensure you choose the APP mode within the SafeShell VPN client when prompted.
Next, within the SafeShell VPN app, browse the list of available servers and select one located in the country whose Netflix library you wish to access, such as the US, UK, or Canada. Click the "Connect" button to establish a secure VPN connection to that server. Finally, open the Netflix app or visit the Netflix website, log into your account, and you'll be able to stream content available in the region corresponding to your chosen SafeShell Netflix VPN server location.
 
 